Cada gota de óleo conta no competitivo mundo do biodiesel. A centrífuga trifásica desempenha um papel fundamental, separando o óleo da água e dos sólidos; uma etapa crucial para a produção de biodiesel de alta qualidade. Quando configurada corretamente, a centrífuga trifásica pode impulsionar a recuperação de óleo, melhorar a pureza e reduzir o desperdício. Mas mesmo pequenos ajustes nas configurações podem reduzir a produtividade e aumentar os custos. Como exatamente os ajustes corretos podem fazer com que cada gota de óleo conte na produção de biodiesel?
Três fases distintas podem ser extraídas de um fluxo de matéria-prima mista usando uma centrífuga trifásica :
● Fase oleosa: Óleo bruto recuperado ou biodiesel.
● Fase aquosa: Contaminantes solúveis e água restante.
● Fase sólida: Partículas, gomas e sedimentos indesejados.

Essa separação é essencial para a produção de uma fase oleosa de alta pureza que atenda aos padrões da indústria na fabricação de biodiesel. Ao contrário das centrífugas bifásicas convencionais, o projeto trifásico garante uma remoção mais eficaz de impurezas, reduzindo a necessidade de filtração adicional.
Uma melhor recuperação de óleo pode ser alcançada sem redução da produtividade, graças ao controle preciso dos parâmetros operacionais. Devido à sua durabilidade e aos sistemas de controle automatizados, modelos de nível industrial, como a Centrífuga Industrial Trifásica para produção de biodiesel , são recomendados para instalações de alta capacidade.
Vários fatores ajustáveis impactam diretamente na eficiência de uma Centrífuga Trifásica :
● Velocidade de rotação (RPM): uma RPM mais alta melhora a eficiência da separação, mas se for definida muito alta, pode resultar na formação de emulsão.
● Taxa de avanço: taxas de avanço mais altas aumentam a produção em detrimento da clareza, enquanto taxas mais baixas proporcionam melhor separação.
● Configurações da placa de barreira: ao variar a altura da placa de barreira, a posição da interface do líquido é alterada, melhorando a separação de fases.
● Design e ângulo do recipiente: o design e o ângulo do recipiente têm impacto na clareza e no tempo de acomodação.
● Temperatura de operação: a temperatura de operação afeta a viscosidade da matéria-prima, o que influencia a taxa de separação.
● Características da matéria-prima: gorduras animais, óleo de soja, óleo de palma e óleo de cozinha usado precisam de diferentes mudanças operacionais.
Para obter o desempenho máximo de uma centrífuga trifásica , é essencial entender como cada configuração ajustável afeta os resultados e a eficiência da separação.
Abaixo estão os fatores mais críticos a serem considerados, juntamente com suas funções e possíveis consequências caso não sejam mantidos adequadamente. Essa técnica leva a uma maior recuperação total de óleo e maior pureza.
Ao aumentar a velocidade de rotação, a força centrífuga se torna mais forte. Isso facilita a separação do óleo dos sólidos e da água.
Risco se não for alterado:
Quando a rotação por minuto está muito alta, pode ocorrer emulsificação, o que dificulta a separação. Também pode sobrecarregar o equipamento, reduzindo sua durabilidade.

Uma saída de óleo mais limpa, com menos impurezas, ocorre quando a centrífuga tem mais tempo para separar as fases em taxas de alimentação mais baixas.
Risco se mal ajustado:
Se a velocidade de alimentação for excessivamente lenta, a eficiência diminui, o que reduz a produção total. Mas um ritmo muito alto pode tornar a pureza menos garantida.
A posição da interface do líquido dentro do recipiente pode ser controlada variando a altura da placa de retenção. O ajuste adequado garante a separação de sólidos, água e óleo nas zonas apropriadas.
Perigo se não for ajustado:
A mistura de fases, na qual a água contamina o óleo ou o óleo se mistura com a água de saída, pode ser causada por configurações inadequadas da barragem. Consequentemente, as taxas de recuperação e a qualidade do produto são reduzidas.
O óleo pode se separar na centrífuga de forma mais rápida e eficiente quando a temperatura operacional adequada é mantida, pois isso reduz a viscosidade do óleo.
Perigo se não for ajustado:
A qualidade do biodiesel pode ser afetada pela degradação da matéria-prima causada por temperaturas muito altas. Além disso, o superaquecimento pode causar estresse no equipamento e riscos à segurança.

Como cada matéria-prima usada para produzir biodiesel tem características físicas distintas, as configurações da centrífuga devem ser ajustadas adequadamente:
● Níveis mais altos de impurezas exigem taxas de alimentação ligeiramente mais baixas e RPM mais altas (dentro de limites mecânicos seguros).
● Aumentar a temperatura operacional diminuirá a viscosidade.
● Como há poucos contaminantes, uma RPM mais baixa geralmente é adequada.
● A clareza pode ser mantida ao usar taxas de avanço mais altas.
● O pré-aquecimento é necessário para diminuir a solidificação.
● Mantenha o gerenciamento de temperatura constante e use um RPM razoável.
● Para manter a eficiência da separação, modificações em tempo real devem ser feitas utilizando sensores em linha.
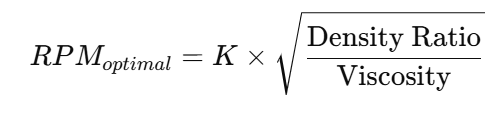
Fórmula para configuração ideal de RPM:

Onde:
● K = constante da máquina de acordo com as especificações do fabricante
● Razão de densidade = densidade do óleo ÷ densidade da água
● Viscosidade = medição de Centipoise (cP) da matéria-prima
Tabela de ajuste rápido:
Tipo de matéria-prima | Faixa de RPM | Taxa de alimentação | Temperatura (°C) |
Óleo de cozinha usado | 4.500–5.200 | Baixo | 60–70 |
Óleos Virgens | 3.800–4.300 | Alto | 40–50 |
Gorduras animais | 4.200–4.800 | Médio | 55–65 |
Leve em consideração estas práticas recomendadas de ponta para otimizar a recuperação de óleo em biodiesel:
Antes de fazer alterações, comece com os valores recomendados de fábrica.
Para identificar os pontos ideais, ajuste uma configuração de cada vez, acompanhe as alterações e fique de olho na pureza do óleo.
Instale sistemas baseados em CLP para fazer ajustes de parâmetros em tempo real.
Para manter a interface precisa, inspecione e reinicie a cada 50 a 100 horas de funcionamento.
Para o tipo específico de óleo que está sendo processado, pré-aqueça a matéria-prima até a viscosidade adequada.
● Para evitar a emulsificação, mantenha uma velocidade de rotação constante de ±10 RPM.
● Ao alternar entre óleos leves e pesados, ajuste a altura da barragem.
● Para encontrar indicações precoces de contaminação de fase, verifique a descarga para maior clareza.
A manutenção inadequada pode reduzir a eficiência da separação, mesmo com as melhores configurações:
● Limpeza regular: para evitar acúmulo, limpe a tigela e a pilha de discos.
● Inspeção da vedação e da junta: a inspeção da vedação e da junta impede vazamentos que interferem na separação.
● Monitoramento de vibração: o monitoramento de vibração encontra desequilíbrios que reduzem a produtividade.
● Verifique a qualidade da descarga: verifique a qualidade da descarga; partículas excessivas ou óleo turvo são sinais de parâmetros desalinhados.
● Problema: Fase oleosa turva.
● Possíveis causas: podem incluir altura incorreta da barragem, velocidade de alimentação muito alta ou RPM muito baixa.
● Solução: Calibre a placa de barreira novamente, reduza a taxa de alimentação e aumente suavemente o RPM.
Uma das maneiras mais rápidas de aumentar a eficiência, reduzir custos e obter mais óleo é ajustar as configurações da Centrífuga Trifásica para a produção de biodiesel . Os operadores obtêm melhores resultados quando entendem como o tipo de matéria-prima, a temperatura e as configurações da máquina funcionam em conjunto.
Seja utilizando gordura animal, óleo vegetal fresco ou óleo de cozinha usado, a configuração correta da centrífuga ajuda a produzir biodiesel de alta qualidade, minimizando o desperdício. A centrífuga industrial trifásica é um bom exemplo de equipamento avançado que oferece aos grandes produtores a automação, a confiabilidade e a flexibilidade necessárias para se manterem competitivos.
Obter mais óleo não significa apenas exigir mais da máquina; significa operá-la corretamente, sempre.
Copyright © 2025 Shenzhou Group Co., Ltd/Liaoyang Shenzhou Machinery Equipment Co., Ltd - www.lnszjx.com Todos os direitos reservados.辽ICP备18010813号-1