경쟁이 치열한 바이오디젤 시장에서는 오일 한 방울도 낭비할 수 없습니다. 3상 원심분리기는 오일을 물과 고형물에서 분리하는 데 핵심적인 역할을 하며, 이는 고품질 바이오디젤 생산에 필수적인 단계입니다. 3상 원심분리기를 최적으로 설정하면 오일 회수율을 높이고 순도를 개선하며 폐기물을 줄일 수 있습니다. 하지만 설정이 조금만 바뀌어도 수율이 떨어지고 비용이 증가할 수 있습니다. 바이오디젤 생산에서 오일 한 방울도 낭비하지 않도록 설정을 적절히 조정하는 방법은 무엇일까요?
3상 원심분리기를 사용하면 혼합 원료 스트림에서 세 가지 뚜렷한 상을 추출할 수 있습니다 .
● 오일상: 회수된 원유 또는 바이오디젤.
● 수용액상: 용해성 오염물질 및 잔류수.
● 고체상: 원치 않는 입자, 검, 침전물.

이러한 분리는 바이오디젤 제조에서 산업 표준을 충족하는 고순도 오일상을 생산하는 데 필수적입니다. 기존의 2상 원심분리기와 달리 3상 설계는 불순물 제거 효율을 높여 추가 여과 필요성을 줄여줍니다.
정밀한 조작 매개변수 제어를 통해 처리량을 줄이지 않고도 오일 회수율을 높일 수 있습니다. 내구성과 자동 제어 시스템을 갖춘 산업용 3상 원심분리기(바이오디젤 생산용 )와 같은 산업용 모델은 대용량 설비에 적합합니다.
3상 원심분리기 의 효율에 직접적인 영향을 미치는 몇 가지 조정 가능한 요소가 있습니다 .
● 회전 속도(RPM): RPM이 높을수록 분리 효율이 향상되지만, 너무 높게 설정하면 유화가 형성될 수 있습니다.
● 공급 속도: 공급 속도가 높을수록 생산량은 증가하지만 투명도가 떨어지고, 공급 속도가 느릴수록 분리 효율이 향상됩니다.
● 위어 플레이트 설정: 위어 플레이트의 높이를 조절하면 액체 계면의 위치가 변경되어 상 분리가 향상됩니다.
● 잔의 디자인과 각도: 잔의 디자인과 각도는 투명도와 침전 시간에 영향을 미칩니다.
● 작동 온도: 작동 온도는 원료의 점도에 영향을 미치며, 이는 분리 속도에 영향을 줍니다.
● 원료 특성: 동물성 지방, 대두유, 팜유, 폐식용유는 모두 서로 다른 공정 변경이 필요합니다.
3상 원심분리기 의 성능을 최대한으로 끌어내려면 각 조절 설정이 분리 결과와 효율성에 어떤 영향을 미치는지 이해하는 것이 필수적입니다.
다음은 명심해야 할 가장 중요한 요소들과 그 기능, 그리고 제대로 관리하지 않을 경우 발생할 수 있는 결과입니다. 이 기술은 총 석유 회수율 과 순도를 향상시킵니다.
회전 속도를 높이면 원심력이 강해집니다. 따라서 기름을 고체 및 물과 분리하기가 더 쉬워집니다.
변경하지 않을 경우의 위험:
회전 속도(RPM)가 너무 높으면 유화가 발생하여 분리가 어려워질 수 있습니다. 또한 장비에 과도한 부담을 주어 수명을 단축시킬 수도 있습니다.

원심분리기가 낮은 공급 속도로 더 많은 시간을 갖고 상을 분리할 수 있을 때 불순물이 적고 더 깨끗한 오일을 얻을 수 있습니다.
잘못 조정했을 경우의 위험:
공급 속도가 지나치게 느리면 효율이 떨어져 총 생산량이 감소합니다. 하지만 속도가 너무 빠르면 순도가 떨어질 수 있습니다.
분리조 내부의 액체 계면 위치는 위어 플레이트 높이를 조절하여 제어할 수 있습니다. 적절히 조정하면 고체, 물, 기름이 각기 다른 영역에서 분리됩니다.
조정하지 않으면 위험합니다:
물이 기름을 오염시키거나 기름이 유출수에 섞이는 상 혼합 현상은 위어 설정이 부적절할 경우 발생할 수 있습니다. 이로 인해 회수율과 제품 품질이 저하됩니다.
적절한 작동 온도가 유지될 때, 오일의 점도가 낮아지기 때문에 원심분리기에서 오일이 더 빠르고 효율적으로 분리될 수 있습니다.
조정하지 않으면 위험합니다:
고온으로 인한 원료 분해는 바이오디젤 품질에 악영향을 미칠 수 있습니다. 또한, 과열로 인해 장비에 무리가 가거나 안전상의 위험이 발생할 수 있습니다.

바이오디젤을 만드는 데 사용되는 각 원료는 물리적 특성이 다르기 때문에 원심분리기 설정을 적절하게 조정해야 합니다.
● 불순물 함량이 높을수록 공급 속도는 약간 낮추고 회전 속도(RPM)는 높여야 합니다(안전한 기계적 범위 내에서).
● 작동 온도를 높이면 점도가 낮아집니다.
● 오염 물질이 거의 없기 때문에 낮은 RPM으로도 충분한 경우가 많습니다.
● 높은 공급 속도를 사용하더라도 투명도를 유지할 수 있습니다.
● 응고를 줄이려면 예열이 필요합니다.
● 일정한 온도 관리를 유지하고 적절한 RPM을 사용하십시오.
● 분리 효율을 유지하기 위해서는 인라인 센서를 활용하여 실시간으로 조정을 해야 합니다.
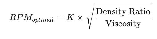
최적 RPM 설정 공식:

어디:
● K = 제조업체 사양에 따른 기계 상수
● 밀도비 = 기름 밀도 ÷ 물 밀도
● 점도 = 원료의 센티포이즈(cP) 측정값
빠른 조정표:
원료 종류 | RPM 범위 | 공급 속도 | 온도(°C) |
폐식용유 | 4,500–5,200 | 낮은 | 60–70 |
버진 오일 | 3,800–4,300 | 높은 | 40–50 |
동물성 지방 | 4,200–4,800 | 중간 | 55–65 |
바이오디젤 생산 시 오일 회수율을 최적화하기 위해 다음과 같은 최첨단 모범 사례를 고려해 보세요 .
변경하기 전에 먼저 공장에서 권장하는 값으로 시작하십시오.
최적의 설정을 찾으려면 한 번에 하나의 설정만 조정하고, 변화를 추적하며, 오일의 순도를 주시하십시오.
실시간으로 파라미터를 조정할 수 있도록 PLC 기반 시스템을 설치하십시오.
인터페이스를 정확하게 유지하려면 50~100시간 작동마다 점검하고 재설정하십시오.
처리하려는 특정 오일의 종류에 따라 원료를 적절한 점도가 될 때까지 예열해야 합니다.
● 유화 현상을 방지하려면 회전 속도를 ±10 RPM 범위 내에서 일정하게 유지하십시오.
● 경질유와 중질유를 번갈아 사용할 때는 위어 높이를 조절하십시오.
● 상 오염의 초기 징후를 찾으려면 방전액의 투명도를 확인하십시오.
유지 관리가 제대로 이루어지지 않으면 아무리 정밀하게 설정하더라도 분리 효율이 떨어질 수 있습니다.
● 정기적인 청소: 오염물 축적을 방지하기 위해, 볼과 디스크 더미를 정기적으로 청소하십시오.
● 씰 및 개스킷 검사: 씰 및 개스킷 검사를 통해 분리 작업을 방해하는 누출을 방지합니다.
● 진동 모니터링: 진동 모니터링은 생산성을 저하시키는 불균형을 감지합니다.
● 배출 수질 점검: 배출 수질을 확인하십시오. 과도한 미립자 또는 혼탁한 오일은 매개변수가 제대로 설정되지 않았음을 나타냅니다.
● 문제: 오일층이 탁해짐.
● 가능한 원인: 잘못된 위어 높이, 너무 높은 이송 속도 또는 너무 낮은 RPM 등이 원인일 수 있습니다.
● 해결 방법: 위어 플레이트를 다시 보정하고, 이송 속도를 줄인 다음, 회전 속도(RPM)를 서서히 높이십시오.
바이오디젤 생산 효율을 높이고 비용을 절감하며 오일 생산량을 늘리는 가장 빠른 방법 중 하나는 3상 원심분리기의 설정을 미세 조정하는 것입니다 . 작업자는 원료 종류, 온도, 기계 설정이 어떻게 상호 작용하는지 이해할 때 더 나은 결과를 얻을 수 있습니다.
동물성 지방, 신선한 식물성 기름, 또는 사용한 식용유 등 어떤 원료를 사용하든, 적절한 원심분리기 설정을 통해 폐기물을 최소화하면서 고품질 바이오디젤을 생산할 수 있습니다. 산업용 3상 원심분리기는 대규모 생산 업체가 경쟁력을 유지하는 데 필요한 자동화, 신뢰성 및 유연성을 제공하는 첨단 장비의 좋은 예입니다.
오일량을 늘리는 것은 단순히 기계를 더 세게 작동시키는 것이 아니라, 매번 정확하게 작동시키는 것을 의미합니다.